インテル® Fortran コンパイラー 17.0 デベロッパー・ガイドおよびリファレンス

ERFC

Elemental Intrinsic Function (Generic): Returns the complementary error function of an argument.

result = ERFC (x)

x

(Input) Must be of type real.

Results

The result type and kind is the same as x. The result is in the range 0 to 2.

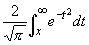
ERFC returns 1 - ERF(x) and is defined as follows:

ERFC returns 1 - ERF(x)

ERFC is provided because of the extreme loss of relative accuracy if ERF(x) is called for large x and the result is subtracted from 1.

Specific Name

Argument Type

Result Type

ERFC

REAL(4)

REAL(4)

DERFC

REAL(8)

REAL(8)

QERFC

REAL(16)

REAL(16)

Example

ERFC (1.0) has the value 0.1572992057.

See Also