インテル® Fortran コンパイラー 17.0 デベロッパー・ガイドおよびリファレンス
Elemental Intrinsic Function (Generic): Returns the gamma value of its argument.
result = GAMMA (x)
x |
(Input) Must be of type real. It must not be zero or a negative number. |
The result type and kind are the same as x.
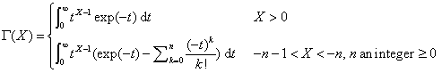
The result has a value equal to a processor-dependent approximation to the gamma function of x,

GAMMA (1.0) has the approximate value 1.000.